RBSE Class 9th गणित संख्या पद्धति Solutions

Welcome to RBSE Class 9th गणित संख्या पद्धति Solutions at RBSE Solution. We provide free access to detailed, step-by-step solutions for the संख्या पद्धति chapter of गणित subject, prescribed by the Rajasthan Board of Secondary Education (RBSE) for Class 9th students.

RBSE Class 9th गणित संख्या पद्धति Solutions

View the following solutions for RBSE Class 9th गणित संख्या पद्धति. These solutions are available for viewing online.

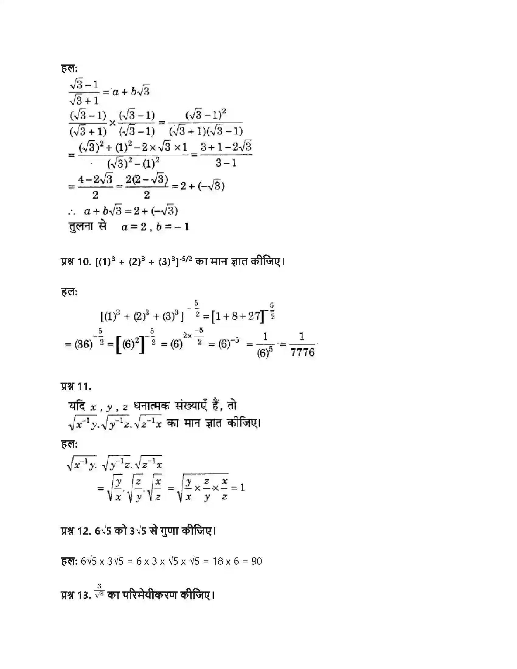
RBSE Class 9th गणित संख्या पद्धति Solution 1
https://rbsesolution.com
RBSE Class 9th गणित संख्या पद्धति Solution 2
https://rbsesolution.com
RBSE Class 9th गणित संख्या पद्धति Solution 3
https://rbsesolution.com
RBSE Class 9th गणित संख्या पद्धति Solution 4
https://rbsesolution.com
RBSE Class 9th गणित संख्या पद्धति Solution 5
https://rbsesolution.com
RBSE Class 9th गणित संख्या पद्धति Solution 6
https://rbsesolution.com
RBSE Class 9th गणित संख्या पद्धति Solution 7
https://rbsesolution.com
RBSE Class 9th गणित संख्या पद्धति Solution 8
https://rbsesolution.com
RBSE Class 9th गणित संख्या पद्धति Solution 9
https://rbsesolution.com
RBSE Class 9th गणित संख्या पद्धति Solution 10
https://rbsesolution.com
RBSE Class 9th गणित संख्या पद्धति Solution 11
https://rbsesolution.com
RBSE Class 9th गणित संख्या पद्धति Solution 12
https://rbsesolution.com
RBSE Class 9th गणित संख्या पद्धति Solution 13
https://rbsesolution.com
RBSE Class 9th गणित संख्या पद्धति Solution 14
https://rbsesolution.com
RBSE Class 9th गणित संख्या पद्धति Solution 15
https://rbsesolution.com
RBSE Class 9th गणित संख्या पद्धति Solution 16
https://rbsesolution.com

Our RBSE Class 9th गणित संख्या पद्धति Solutions section provides clear, step-by-step answers for textbook questions in the संख्या पद्धति chapter. These solutions help students understand concepts better and learn the correct way to write answers in exams.

Prepared in simple language and exam-oriented format, the solutions cover all topics in the संख्या पद्धति chapter. Whether you are revising at home or checking your practice work, RBSE Solutions help you learn accurately and prepare with confidence.

All RBSE Class 9th गणित संख्या पद्धति Solutions available on our platform can be viewed completely free of cost. There's no registration required, no payment needed, and no hidden charges.

Other Chapters of गणित

Browse other chapters of RBSE Class 9th गणित Solutions. Click on any chapter below to view its content.

Continue Your RBSE Class 9th गणित Exam Preparation

Continue your exam preparation by exploring other chapters and resources. Combine these solutions with our other resources like RBSE Books, Previous Year Papers, and Revision Notes for a complete and effective preparation strategy.

If you have any questions or need assistance, feel free to contact us. We're here to help you succeed in your RBSE examinations.