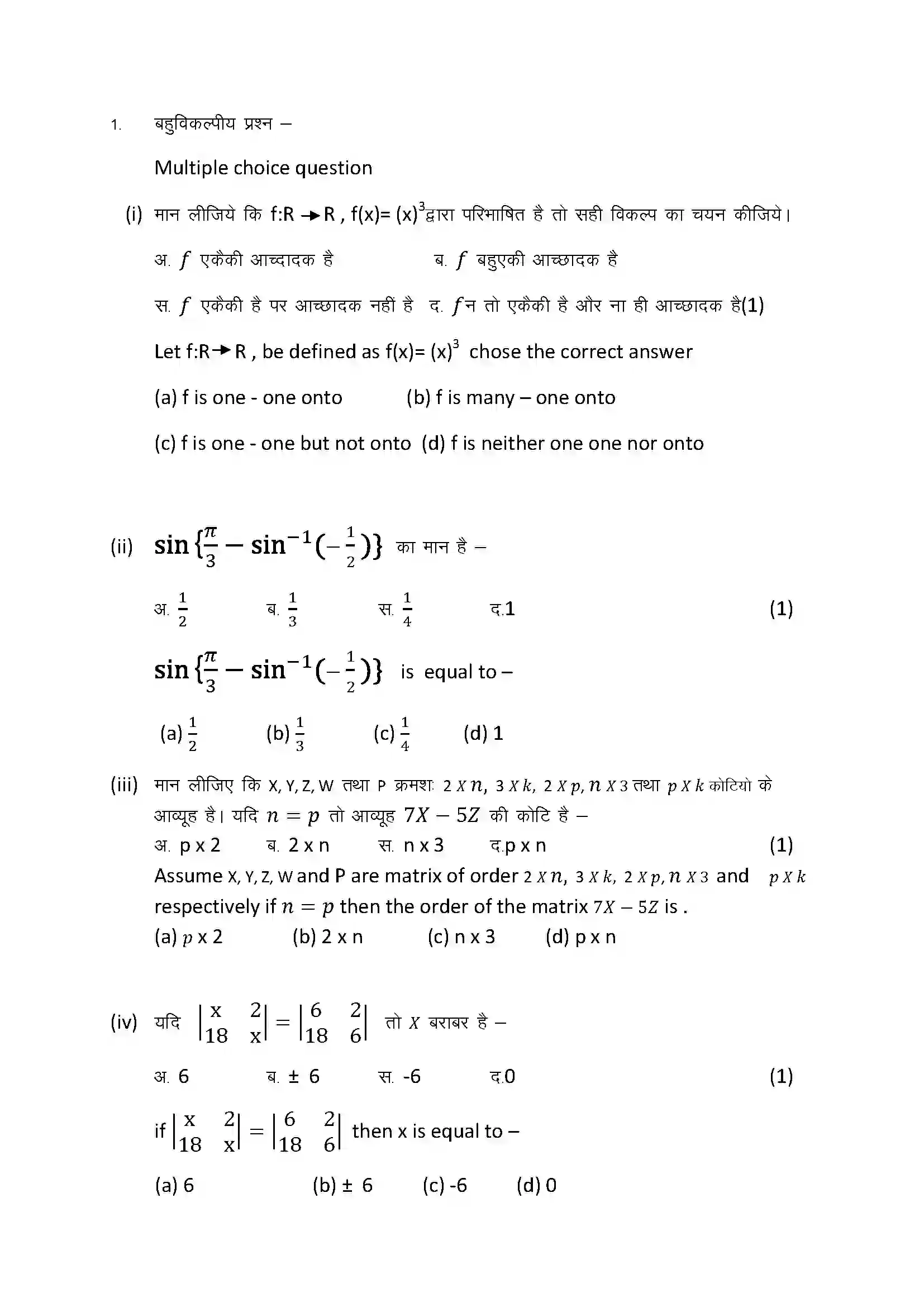
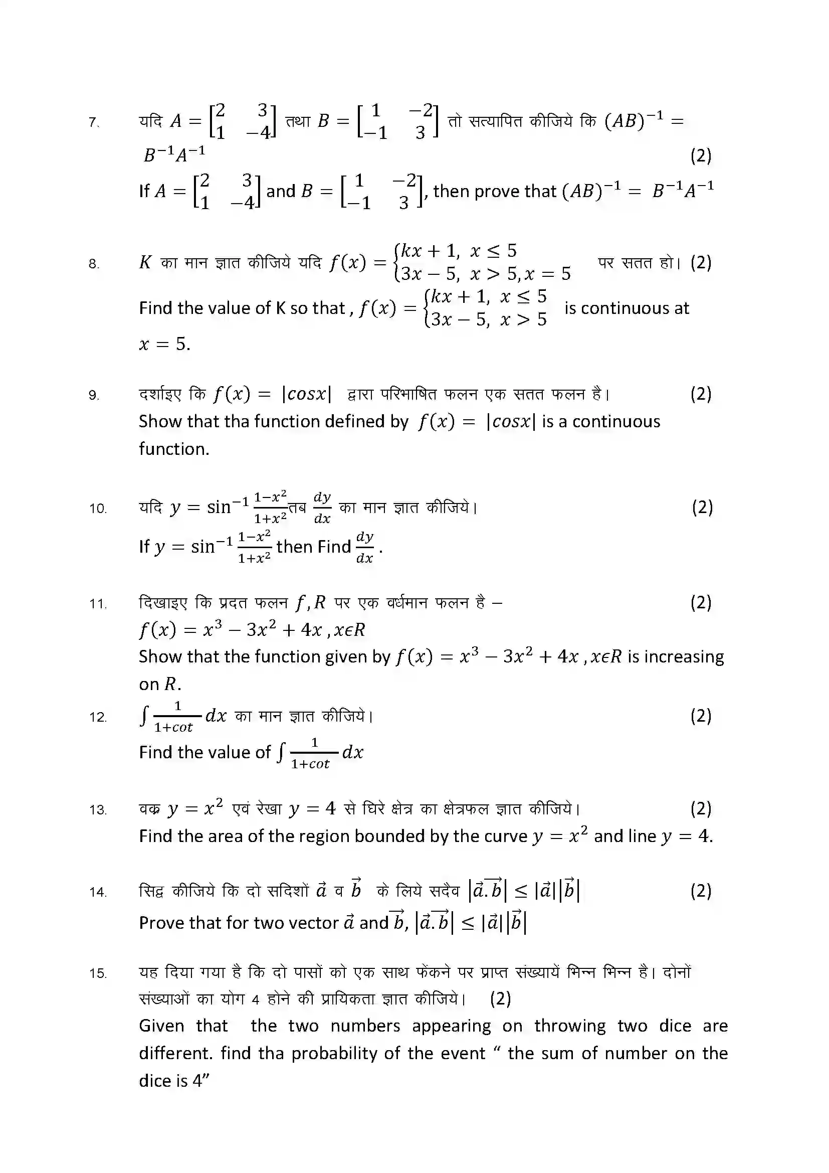
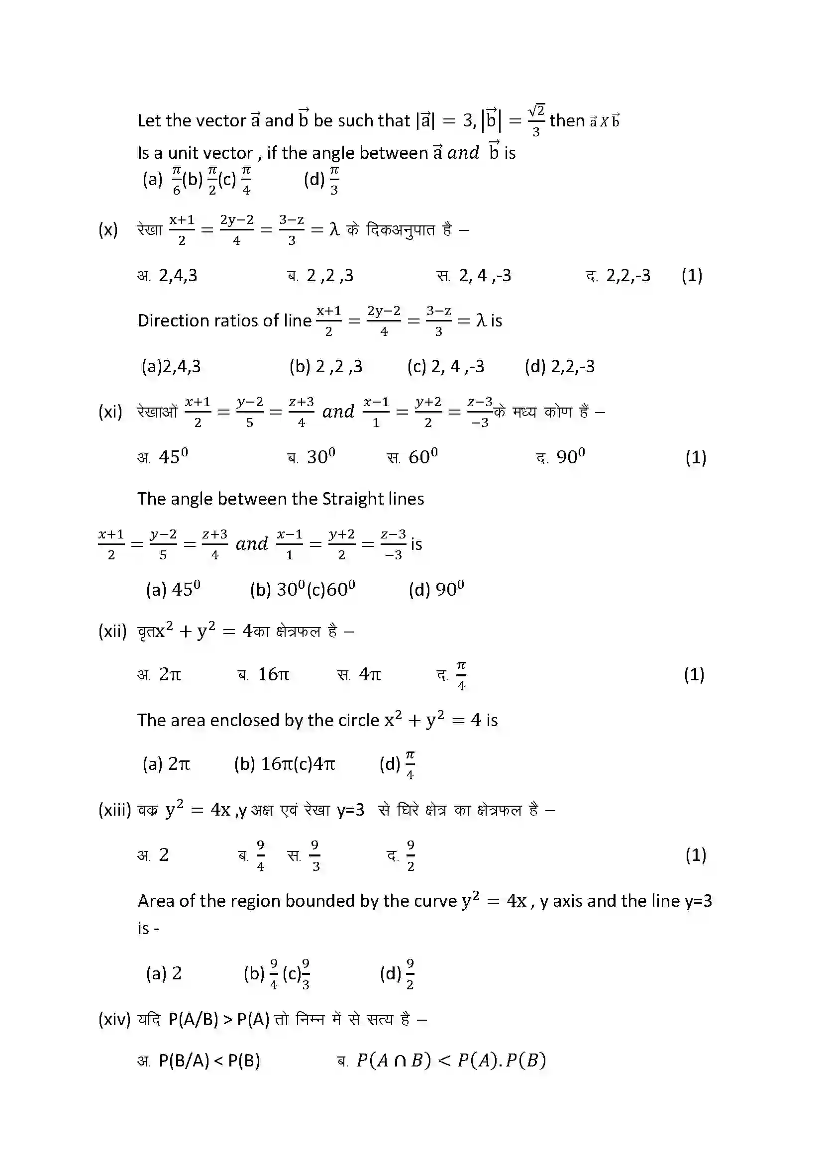
RBSE Class 12th 2024 गणित Sample Papers

Welcome to RBSE Class 12th 2024 गणित Sample Papers at RBSE Solution. We provide free access to model question papers for गणित subject from 2024, designed to match the actual Rajasthan Board of Secondary Education (RBSE) exam pattern.

RBSE Class 12th 2024 गणित Sample Papers

View the following sample papers for RBSE Class 12th 2024 गणित. These papers are available for viewing online.

RBSE Class 12th 2024 गणित Sample Paper 1
https://rbsesolution.com
RBSE Class 12th 2024 गणित Sample Paper 2
https://rbsesolution.com
RBSE Class 12th 2024 गणित Sample Paper 3
https://rbsesolution.com
RBSE Class 12th 2024 गणित Sample Paper 4
https://rbsesolution.com
RBSE Class 12th 2024 गणित Sample Paper 5
https://rbsesolution.com
RBSE Class 12th 2024 गणित Sample Paper 6
https://rbsesolution.com
RBSE Class 12th 2024 गणित Sample Paper 7
https://rbsesolution.com
RBSE Class 12th 2024 गणित Sample Paper 8
https://rbsesolution.com
RBSE Class 12th 2024 गणित Sample Paper 9
https://rbsesolution.com
RBSE Class 12th 2024 गणित Sample Paper 10
https://rbsesolution.com
RBSE Class 12th 2024 गणित Sample Paper 11
https://rbsesolution.com
RBSE Class 12th 2024 गणित Sample Paper 12
https://rbsesolution.com
RBSE Class 12th 2024 गणित Sample Paper 13
https://rbsesolution.com

Our RBSE Class 12th 2024 गणित Sample Papers section provides model question papers for गणित subject from 2024. These papers help students practice and prepare effectively for their exams.

Practicing with sample papers helps students understand the exam format, improve time management, and build confidence. All materials are available for viewing completely free of cost.

Other Subjects of 2024

Browse other subjects of RBSE Class 12th 2024 Sample Papers. Click on any subject below to view its content.

Continue Your RBSE Class 12th Exam Preparation

Continue your exam preparation by exploring other resources. Combine these papers with our other resources like RBSE Books, Solutions, Previous Year Papers, and Revision Notes for a complete and effective preparation strategy.

If you have any questions or need assistance, feel free to contact us. We're here to help you succeed in your RBSE examinations.