RBSE Class 12th 2024 English-SS-02-2024 Previous Year Papers

Welcome to RBSE Class 12th 2024 English-SS-02-2024 Previous Year Question Papers at RBSE Solution. We provide free access to real exam papers from 2024 for English-SS-02-2024 subject, helping students understand the actual Rajasthan Board of Secondary Education (RBSE) exam pattern.

RBSE Class 12th 2024 English-SS-02-2024 Previous Year Papers

View the following previous year papers for RBSE Class 12th 2024 English-SS-02-2024. These papers are available for viewing online.

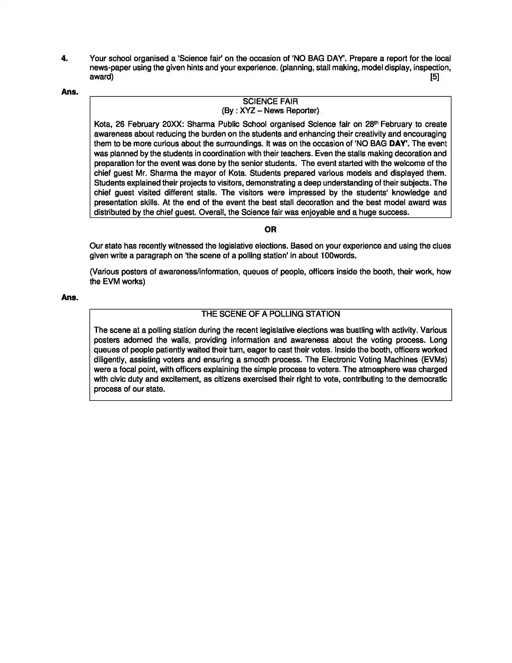
RBSE Class 12th 2024 English-SS-02-2024 Previous Year Paper 1
https://rbsesolution.com
RBSE Class 12th 2024 English-SS-02-2024 Previous Year Paper 2
https://rbsesolution.com
RBSE Class 12th 2024 English-SS-02-2024 Previous Year Paper 3
https://rbsesolution.com
RBSE Class 12th 2024 English-SS-02-2024 Previous Year Paper 4
https://rbsesolution.com
RBSE Class 12th 2024 English-SS-02-2024 Previous Year Paper 5
https://rbsesolution.com
RBSE Class 12th 2024 English-SS-02-2024 Previous Year Paper 6
https://rbsesolution.com
RBSE Class 12th 2024 English-SS-02-2024 Previous Year Paper 7
https://rbsesolution.com
RBSE Class 12th 2024 English-SS-02-2024 Previous Year Paper 8
https://rbsesolution.com
RBSE Class 12th 2024 English-SS-02-2024 Previous Year Paper 9
https://rbsesolution.com
RBSE Class 12th 2024 English-SS-02-2024 Previous Year Paper 10
https://rbsesolution.com
RBSE Class 12th 2024 English-SS-02-2024 Previous Year Paper 11
https://rbsesolution.com
RBSE Class 12th 2024 English-SS-02-2024 Previous Year Paper 12
https://rbsesolution.com

Our RBSE Class 12th 2024 English-SS-02-2024 Previous Year Question Papers section gives students access to real exam papers from 2024 for English-SS-02-2024 subject. Practicing these papers allows students to identify important topics, recurring questions, and the level of difficulty expected in the exam.

These question papers support effective revision, improve time management, and build exam confidence. All materials are available for viewing completely free of cost.

Other Subjects of 2024

Browse other subjects of RBSE Class 12th 2024 Previous Year Papers. Click on any subject below to view its content.

Continue Your RBSE Class 12th Exam Preparation

Continue your exam preparation by exploring other resources. Combine these papers with our other resources like RBSE Books, Solutions, and Revision Notes for a complete and effective preparation strategy.

If you have any questions or need assistance, feel free to contact us. We're here to help you succeed in your RBSE examinations.